О Банке
Помощь
Главная
Документ
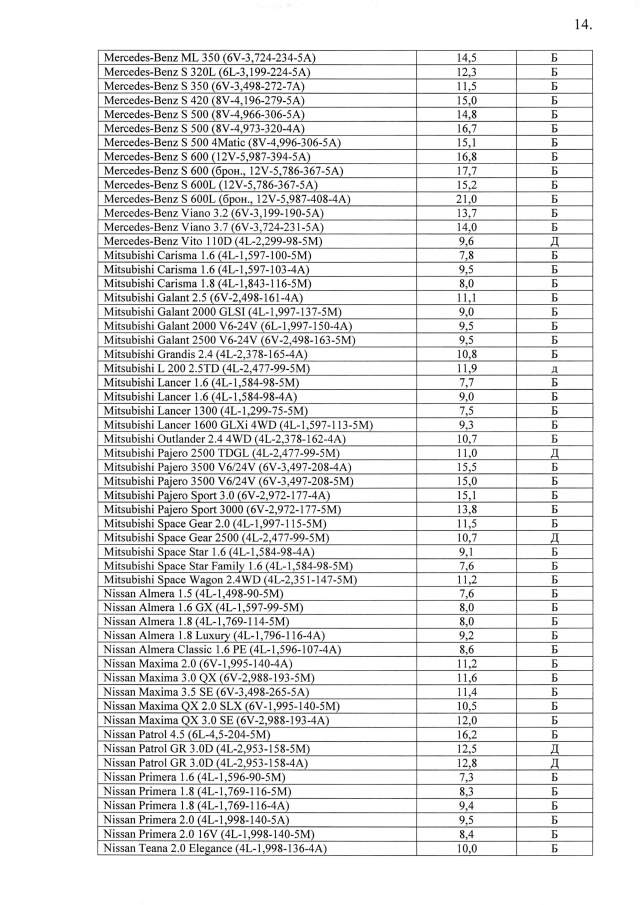
Постановление Кабинета Министров Республики Абхазия от 30.11.2018 № 177 "Об утверждении "Норм расхода топлива и смазочных материалов на автомобильном транспорте Республики Абхазия"
Показывать:
1
10
100
Скачать PDF (81 Мб)
«
Первая
‹
Предыдущая
10
11
12
13
14
15
16
17
18
19
20
›
Следующая
»
Последняя
Страница
15
из
101
«
Первая
‹
Предыдущая
10
11
12
13
14
15
16
17
18
19
20
›
Следующая
»
Последняя