О Банке
Помощь
Главная
Документ
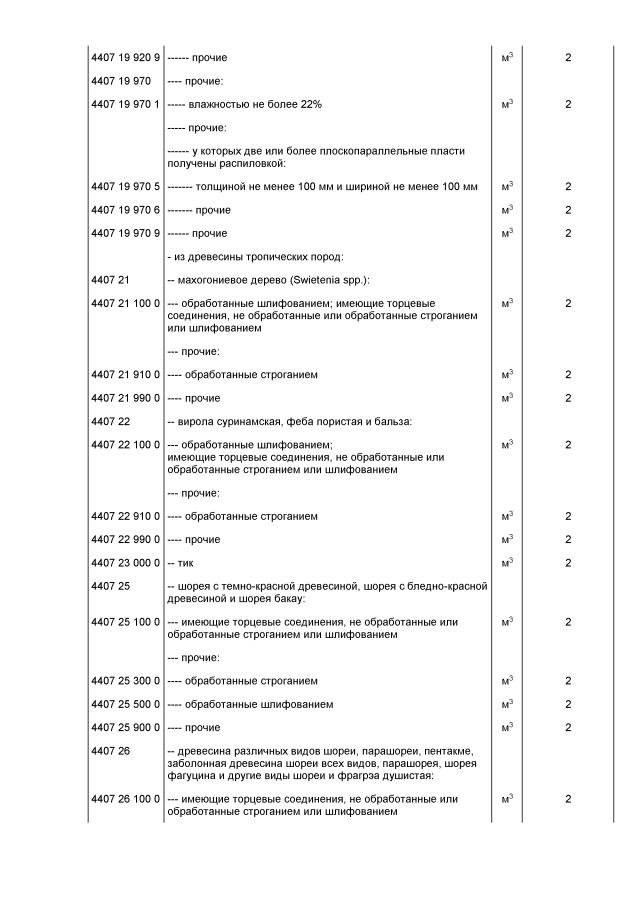
Постановление Кабинета Министров Республики Абхазия от 28.02.2023 №23 "Об утверждении таможенного тарифа Республики Абхазия (ввозные таможенные пошлины)"
Показывать:
1
10
100
Скачать PDF (154 Мб)
«
Первая
‹
Предыдущая
388
389
390
391
392
393
394
395
396
397
398
›
Следующая
»
Последняя
Страница
393
из
974
«
Первая
‹
Предыдущая
388
389
390
391
392
393
394
395
396
397
398
›
Следующая
»
Последняя