О Банке
Помощь
Главная
Документ
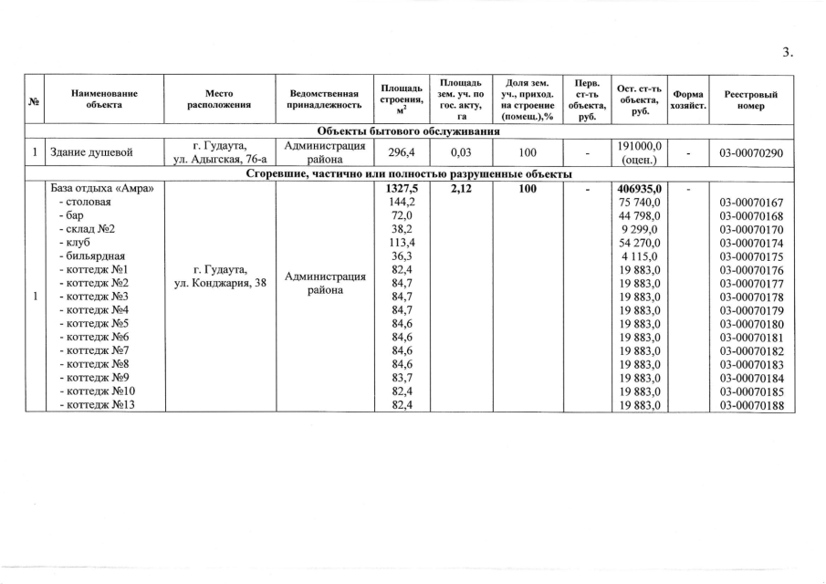
Постановление Кабинета Министров Республики Абхазия от 28.12.2016 № 248 "О дополнительном перечне объектов государственной собственности, подлежащих приватизации"
Показывать:
1
10
100
Скачать PDF (3 Мб)
«
Первая
‹
Предыдущая
1
2
3
4
5
6
7
8
9
›
Следующая
»
Последняя
Страница
4
из
9
«
Первая
‹
Предыдущая
1
2
3
4
5
6
7
8
9
›
Следующая
»
Последняя