О Банке
Помощь
Главная
Документ
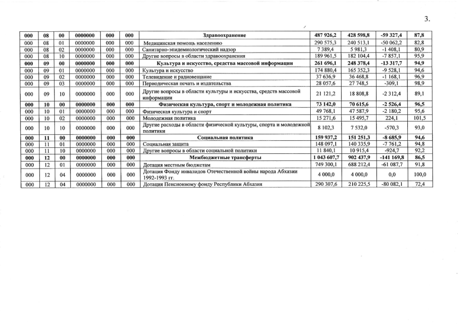
Постановление Кабинета Министров Республики Абхазия от 06.03.2017 № 19 "Об исполнении Республиканского бюджета за 2016 год"
Показывать:
1
10
100
Скачать PDF (5 Мб)
«
Первая
‹
Предыдущая
1
2
3
4
5
6
7
8
9
10
11
›
Следующая
»
Последняя
Страница
6
из
13
«
Первая
‹
Предыдущая
1
2
3
4
5
6
7
8
9
10
11
›
Следующая
»
Последняя