О Банке
Помощь
Главная
Документ
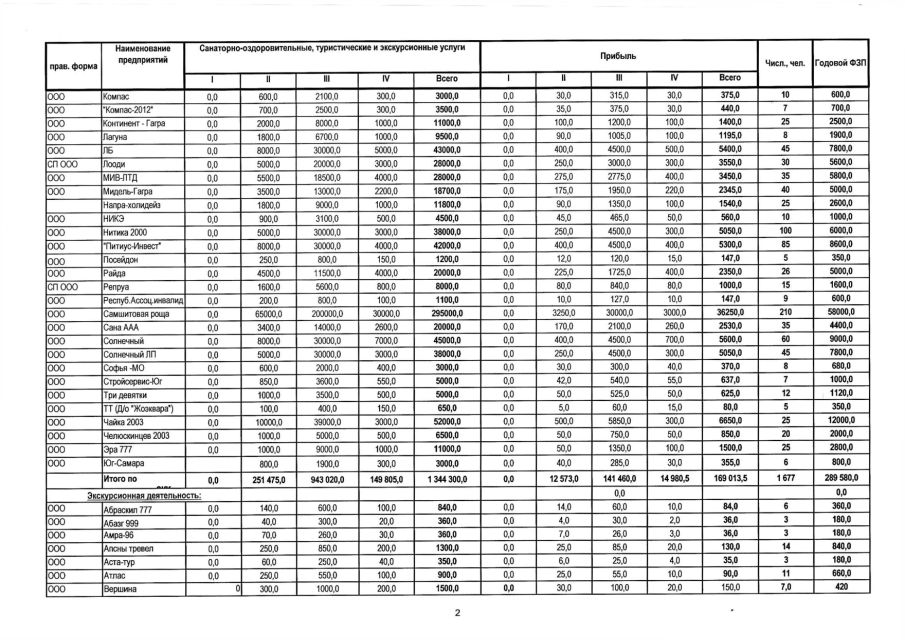
Постановление Кабинета Министров Республики Абхазия от 06.10.2017 № 156 "Об утверждении "Индикативного плана социально-экономического развития Республики Абхазия на 2018 год"
Показывать:
1
10
100
Скачать PDF (51 Мб)
«
Первая
‹
Предыдущая
62
63
64
65
66
67
68
69
70
71
72
›
Следующая
»
Последняя
Страница
67
из
129
«
Первая
‹
Предыдущая
62
63
64
65
66
67
68
69
70
71
72
›
Следующая
»
Последняя