О Банке
Помощь
Главная
Документ
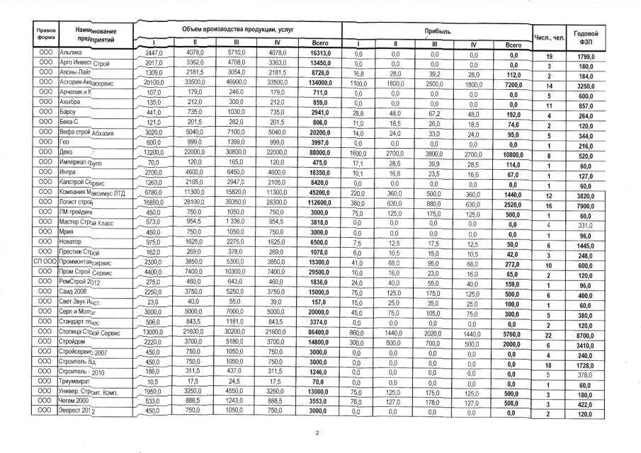
Постановление Кабинета Министров Республики Абхазия от 10.10.2018 № 146 "Об утверждении "Индикативного плана социально-экономического развития Республики Абхазия на 2019 год"
Показывать:
1
10
100
Скачать PDF (49 Мб)
«
Первая
‹
Предыдущая
18
19
20
21
22
23
24
25
26
27
28
›
Следующая
»
Последняя
Страница
23
из
123
«
Первая
‹
Предыдущая
18
19
20
21
22
23
24
25
26
27
28
›
Следующая
»
Последняя